Interação entre cargas
É bem simples, cargas de
sinais opostos se atraem e
sinais iguais se repelem. Como é algo bem prático, tenha certeza de que está sinalizando a interação correta durante a resolução de uma questão.
[caption id="" align="alignnone" width="347"]

Interação entre cargas de sinais opostos e cargas de sinais iguais[/caption]
O que irá determinar se um corpo está carregado
positivamente ou
negativamente é o fato dele possuir elétrons
em falta ou
em excesso, respectivamente.
Processos de eletrização
Existem três tipos de eletrização: por atrito, contato e indução.
- Eletrização por atrito: Ocorre quando atritamos (ou esfregar) dois corpos, inicialmente neutros, e haverá transferência de elétrons de um corpo para o outro. Dessa maneira, quem perdeu os elétrons ficará eletrizado positivamente e quem ganhou ficará negativamente. O que irá determinar qual corpo ficará positivo e qual corpo ficará negativo é o material dos corpos atritados (geralmente a questão irá dizer qual corpo ficou positivo e qual ficou negativo).
[caption id="" align="aligncenter" width="733"]

Eletrização por atrito[/caption]
- Eletrização por contato: Considere duas esferas, uma carregada negativamente e outra neutra. A que está carregada possui um potencial maior, logo, como tudo na natureza tende a entrar em equilíbrio, quando encostamos uma na outra, as cargas de quem tem maior potencial passam para a que tem menor potencial.
Aqui não é necessário atritar um corpo com o outro, apenas um simples toque já basta para que haja a interação elétrica. Mas lembre-se que um dos corpos deve, obrigatoriamente, estar carregado positivamente ou negativamente e que a carga final dos corpos será a média aritmética entre as cargas iniciais deles.
[caption id="" align="aligncenter" width="731"]

Eletrização por contato[/caption]
- Eletrização por indução: Ao aproximarmos uma esfera carregada de uma neutra (sem haver contato entre elas), as cargas, naturalmente, se separam, devido a cargas de sinais iguais se repelirem e de opostos se atraírem. Se ligarmos um condutor na esfera B até a Terra, as cargas negativas, que foram repelidas, escoarão até a Terra, deixando a esfera B carregada positivamente.
[caption id="" align="aligncenter" width="496"]

Eletrização por indução[/caption]
Carga Elementar
A unidade padrão do SI para a cargas elétricas é o
coulomb (símbolo: C).
Através de diversas experiências, foi determinado que a carga de 1 elétron é Q = -1,6.10
-19C e a carga do próton é Q = +1,6.10
-19C.
Como um corpo não pode ter “meio elétron” ou qualquer outra fração de elétron, a quantidade de carga em um corpo é dada pela relação:

Onde “
n” é um número inteiro (número de elétrons do corpo) e “
e” é a carga elétrica elementar.
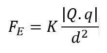
Lei de Coulomb
Depois de descobertos todos esses processos de eletrização, começaram a estudar as interações entre as cargas. Um físico francês, chamado Charles Augustin Coulomb, foi quem formulou essa interação entre as cargas. Depois de muita pesquisa, ele percebeu que essa interação dependia do valor das cargas e da distância entre elas. Quanto mais carregadas e perto elas estivessem, mais forte seria a interação. Com esses testes, Coulomb percebeu que a força elétrica era diretamente proporcional ao módulo das cargas e inversamente proporcional à distância ao quadrado.

Onde:
Fe = Força elétrica
Q = Módulo da carga elétrica
q = Módulo da outra carga elétrica
K = Constante eletrostática (9x10
9 N.m² /C²)
d = Distância entra as cargas.
Importante: A força elétrica é uma grandeza vetorial, logo, possui módulo, direção e sentido. A direção e o sentido serão dados dependendo do sinal das cargas (se é atração ou repulsão de cargas). Note também que
a interação é apenas entre duas cargas!
OBS: Costuma-se usar a notação F12 para a força que a carga 1 faz na carga 2 e F21 para a força que a carga 2 faz na carga 1. O que muda de uma para outra? Apenas o sentido da força elétrica.
Princípio da superposição
Como a força elétrica determina apenas a força elétrica entre duas cargas, o que fazer quando existir mais de 2 cargas interagindo?
Escolha uma carga Q para servir de referência, ou melhor, para analisar as forças que estão atuando sobre ela (geralmente a questão já determina qual carga será)
Aplique a Lei de Coulomb para cada carga elétrica q que está interagindo com a carga Q, uma a uma.
Após determinar todas as forças elétricas que estão atuando sobre a carga Q, faça uma soma vetorial para determinar a força elétrica resultante sobre a carga Q.
[caption id="" align="alignnone" width="620"]

Princípio da Superposição[/caption]
Exercícios:
1. A figura ilustra uma mola feita de material isolante elétrico, não deformada, toda contida no interior de um tubo plástico não condutor elétrico, de altura h = 50 cm.

Colocando-se sobre a mola um pequeno corpo (raio desprezível) de massa 0,2 kg e carga positiva de 9 x 10
-6C, a mola passa a ocupar metade da altura do tubo. O valor da carga, em coulombs, que deverá ser fixada na extremidade superior do tubo, de modo que o corpo possa ser posicionado em equilíbrio estático a 5 cm do fundo, é
Dados:
• Aceleração da Gravidade: g = 10 m/s
2
• Constante Eletrostática: K = 9 x 10
9 N.m
2/C
2
A) 2 x 10
-6
B) 4 x 10
-4
C) 4 x 10
-6
D) 8 x 10
-4
E) 8 x 10
-6
2. Duas pequenas esferas metálicas iguais, X e Y, fixadas sobre bases isolantes, estão eletricamente carregadas com cargas elétricas 6C e -2C, respectivamente. Quando separadas por uma distância d uma da outra, as esferas estão sujeitas a forças de atração coulombiana de módulo F1.
As duas esferas são deslocadas pelas bases até serem colocadas em contato. A seguir, elas são novamente movidas pelas bases até retornarem à mesma distância d uma da outra.
Se, após o contato e posterior separação das esferas,F
2 é o módulo da força coulombiana entre X e Y, pode-se
afirmar corretamente que o quociente F
1/F
2 vale
A) 1/3.
B) 3/4.
C) 4/3.
D) 3.
E) 4.
3. Dois objetos metálicos esféricos idênticos, contendo cargas elétricas de 1C e de 5C, são colocados em contato e depois afastados a uma distância de 3 m. Considerando a Constante de Coulomb k = 9 x 10
9 N m
2/C
2, podemos dizer que a força que atua entre as cargas após o contato é:
A) atrativa e tem módulo 3x10
9 N.
B) atrativa e tem módulo 9 x 10
9 N.
C) repulsiva e tem módulo 3 x 10
9 N.
D) repulsiva e tem módulo 9 x 10
9 N.
E) zero.
Gabarito:
1. C
2. D
3. D