6 questões que mostram como as operações trigonométricas podem ser cobradas no seu vestibular
Muitos de vocês tremem ao ouvir falar de trigonometria. Mas a trigonometria não é um bicho de sete cabeças como vocês pensam! Podemos provar a vocês, usando as operações trigonométricas que já foram cobradas no vestibular e mostrar a vocês o quão fácil elas são.
- Operações com tangente
Exercício 1:
(UERJ) Um holofote está situado no ponto A, a 30 metros de altura, no alto de uma torre perpendicular ao plano do chão. Ele ilumina, em movimento de vaivém, uma parte desse chão, do ponto C ao ponto D, alinhados à base B, conforme demonstra a figura a seguir. Se o ponto B dista 20 metros de C e 150 metros de D, a medida do ângulo CÂD corresponde a:
a) 60° b) 45° c) 30° d) 15°
Resolução:
Exercício 2:
Resolução:

Você pode brilhar com qualquer chance que te derem…
- Operações com seno
Devemos lembrar que a forma que encontramos o seno da soma ou da diferença é dada por:
(UERJ) Considere o triângulo ABC mostrado, onde os ângulos A, B e C estão em progressão aritmética crescente. Determine os valores de cada um desses ângulos, respectivamente, sabendo que:
Resolução:
Considerando três termos em PA como x – r, x, x + r, a soma será (x – r + x + x + r) = 3x. Representando os ângulos do triângulo como esse trio e sabendo que a soma dos ângulos internos vale 180º, temos:

Você após resolver esse exercício..
- Operações com cosseno
Devemos lembrar que o cosseno da soma ou da diferença é dado por:
(UFMA) Sabendo que β é um ângulo tal que 2 sen (β – 60º) = cos (β + 60º), então tg β é um número da forma a + b√3, em que:
a) a e b são reais negativos
b) a e b são inteiros
c) a + b = 1
d) a e b são pares
e) a² + b² = 1
RESOLUÇÃO:
2 sen (β – 60º) = cos (β + 60º) <–>
2· [senβ· cos60º – cosβ· sen60º] = cosβ· cos60º – senβ· sen60º <–>
2· [senβ· 1/2 – cosβ·√3/2 ] = cosβ· 1/2 – senβ· √3/2 <–>
senβ – √3·cosβ = cosβ· 1/2 – senβ· √3/2 <–>
2·senβ – 2·√3·cosβ= cosβ – √3 ·senβ <–>
2·senβ + √3 ·senβ = cosβ + 2·√3·cosβ <–>
(2+ √3 )·senβ = (1+2·√3)·cosβ <–>
senβ / cosβ = (1+2·√3) / (2+ √3 ) <–>
tanβ= (1+2·√3) / (2+ √3 ) = (1+2·√3) / (2+ √3 ) · (2- √3) / (2- √3 ) <–>
tanβ= (2 – √3 + 4·√3 – 6)/(4-3) <–>
tanβ= -4 + 3·√3
logo, a = -4 e b = 3
==> tanβ= a + b·√3 com a e b inteiros (b)

Essa questão vai cair na sua prova…
- Operações com arco duplo ou arco metade
Exercício 1:
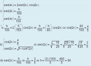
(UERJ) Considere o ângulo segundo o qual um observador vê uma torre. Esse ângulo duplica quando ele se aproxima 160m e quadruplica quando ele se aproxima mais 100m, como mostra o esquema:
A altura da torre, em metros, equivale a:
a) 96
b) 98
c) 100
d) 102
RESOLUÇÃO:
Analisando os triângulos, temos:
i) O ângulo (2x) é externo e vale a soma de (x + y).
Logo, 2x = x + y => x = y.
Esse triângulo é isósceles.
ii) O ângulo (4x) é externo e vale a soma de (2x + t).
Logo, 4x = 2x + t => 2x = t. Esse triângulo também é isósceles.
iii) Utilizando os senos de (2x) e (4x),temos:
Exercício 2:
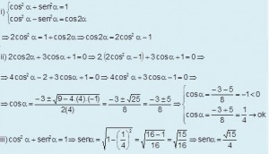
(FUVEST) No triangulo acutâgulo ABC, ilustrado na figura, o comprimento do lado BC mede , o ângulo interno de vértice C mede α, e o ângulo interno de vértice B mede α/2.
Sabe-se, também, que 2cos(2α) + 3cosα + 1 = 0.
Nessas condições, calcule:
a) o valor de senα; b) a medida do lado AC.
RESOLUÇÃO:
a)
b)
Bem, galera, vimos que os exercícios de operações trigonométricas não são os mais fáceis do mundo, PORÉM não são monstros como todos acham, certo? Se enganam aqueles que trigonometria não vai ser cobrada no seu vestibular, pois esse assunto é sempre cobrado (:

Viu? Você conseguiu fazer todas as questões..



Camila 











Redação 