• Aumentar Fonte
  • Diminuir Fonte
  • Trocar contraste

Como domesticar os logaritmos usando as propriedades de potência

O ENEM, como sabemos, é uma prova grande, cansativa, contextualizada, porém não tão exigente no nível de suas questões (por mais que algumas delas sejam muito boas). Sempre pinta aquele assunto do qual você não é muito familiarizado, ou odeia, ou acha mega impossível. É o caso dos logaritmos, dos quais muitos tremem só de pensar. Então confira como você pode acabar com esse temor e “domesticar” os logaritmos. =)

1. Potenciação

Logaritmos estão diretamente ligados a potência. Então nada melhor do que dar uma olhada nesse tópico antes de entrar diretamente no temido logaritmo. Fora que potenciação é MUITO abordado no ENEM como matemática básica que você precisa saber para a prova de Ciências da Natureza.

Relembre desde o teórico “a” elevado ao expoente “n” é igual a uma multiplicação de “a” por “a” com “n” fatores. Assim:
Definição de Potenciação

Agora, destaquemos as principais propriedades:

a) Expoente Par:

Para qualquer expoente par, o resultado da potência será sempre positivo, independente se a base é negativa ou positiva.

Potenciação - Expoente Par

b) Expoente Ímpar:

Já para o expoente ímpar, quando temos uma base negativa, o resultado será sempre negativo. Isso porque “sobra” um fator ainda na multiplicação e como esse fator é negativo, o resultado será negativo. Já se a base for positiva, o resultado é sempre positivo.

Potenciação - Expoente Ímpar

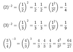
c) Expoente negativo:

O sinal negativo simboliza “oposto”, “inverso”, etc. Portanto, nesse caso o sinal negativo no expoente significa o inverso da base, ou seja, quando tempo um expoente negativo, invertemos numerador por denominador da base.

Potenciação - Expoente Negativo

d) Multiplicação de potência de mesma base:

Quando multiplicamos potências que possuem a mesma base, nós repetimos a base e somamos os expoentes. Isso porque quando eu tenho 2², por exemplo, e multiplico por 2³, eu estou acrescentando a multiplicação de três fatores de mesma base, logo, terei uma multiplicação de 5 fatores iguais. Assim podemos apenas somar os expoentes.

Potenciação - Multiplicação mesma base

e) Divisão de potência de mesma base:

Se na multiplicação de potências de mesma base nós somamos os expoentes e preservamos a base, na divisão nós subtraímos os expoentes, pois nesse caso nós teremos uma divisão, logo simplificaremos e como é a mesma base, nós subtraímos o expoente.

Potenciação - Divisão mesma base

Lembrando:

Todo número elevado a 0 é igual a 1. Mas por quê? Ah, molezinha, observe:

Seja um número “a”, real, diferente de zero, considere que:

a/a = 1

Porém a = a¹, assim, a¹/a¹ = 1, certo?

Agora olhe a nossa propriedade acima onde numa divisão de potência de mesma base nós repetimos a base e diminuímos o expoente. Aplicando no nosso caso ficamos com:

Potenciação - Expoente zero

Logo, todo número real, excetuando-se o próprio zero, é igual a 1.

f) Potência de uma potência:

Se tivermos uma potência de uma potência, nós repetimos a base e multiplicamos o expoente. Isso porque, se eu tenho por exemplo, um número real “a” e efetuo (a²)³, eu estou multiplicando a² três vezes por ele mesmo. Assim:

Potenciação - Potência da potência

Logo, é só multiplicar os expoentes.

Potenciação - Multiplicação de potência

 

Mas era tão fácil assim? :O

2. Logaritmos

Finalmente falemos de logaritmo ao nível do Enem. Todos sabemos que Enem é uma prova muito contextualizada e se tratando de conteúdo em si, não é de nível muito alto, portanto, se aborda logaritmo muito basicamente, levando em consideração a sua teoria básica, propriedades.

A função logarítmica é inversa da função exponencial. O primeiro conceito de logaritmo é:

Sejam a,b ∈ Conjunto Real Positivo Sem Zeroe a ≠ 1. O número x que satisfaz a igualdade a elevado a x é igual a b  é chamado de logaritmo de a na base b.

Logaritmo definição

O símbolo para representar a sentença “O logaritmo na base a de b é igual a x” é

Logaritmo e Potenciação

E além de saber o básico, fique atento em suas propriedades, pois, apesar do Enem não ser tão rigoroso com conteúdos, você precisará saber manusear uma equação logarítmica dependendo da questão.

Sejam a,b,c ∈Conjunto Real Positivo Sem Zero , a,c ≠ 1, temos:

Logaritmo Propriedades

Agora que você já sabe as propriedades de potência e as dos logaritmos, vai conseguir resolver todos os exercícios, né? 🙂