Chegou a hora de revisar todos os macetes importantes de Matemática. Vai perder?
Que atire a primeira régua quem nunca decorou uma fórmula por macete! Alguns são bastante conhecidos, outros podem ser surpresa pra você. O que importa é que todas essas informações são fundamentais pro seu vestibular, então se o macete ajudar, ótimo! Vamos com ele mesmo! =D
1. Adição de Arcos
Como calcular o seno, cosseno e tangente da adição de dois arcos?
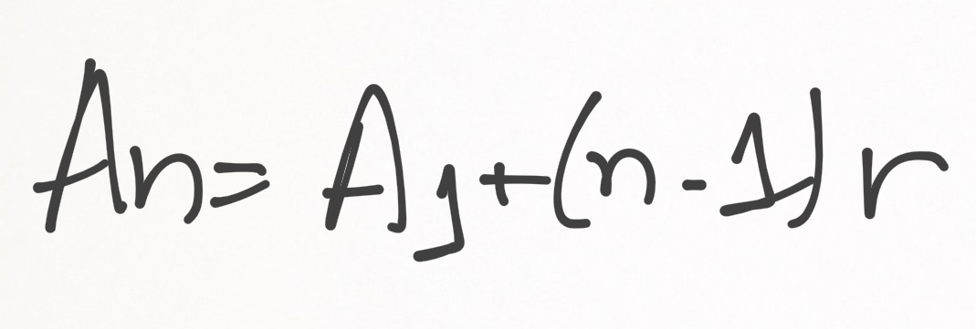
2. Fórmulas da Progressão Aritmética (PA)
Em matéria de sequências, aprendemos PA e PG, ambas têm como principais fórmulas seu Termo Geral e sua Soma. Vamos aos macetes das fórmulas da PA:
– Termo Geral da PA:
-Soma dos n Termos da PA:
3. Análise Combinatória
Toda vez que precisamos contar elementos, utilizamos as fórmulas da Análise Combinatória, lembram? Vamos a algumas delas!
– Arranjo Simples:
– Combinação Simples:


“Comigo Não Pode = Não! / Pode! . (Não Pode)!”
– Permutação Simples:
4. Raízes
As raízes de 2, 3 e 5 podem ser bastante úteis em alguns cálculos e muitas vezes não aparecem nos dados das questões.
Para lembrar-se delas, basta contar o número de letras de cada palavra das frases correspondentes abaixo.
E aí, tudo fresquinho na cabeça agora? 😉 Deixe seu comentário! 😀



Camila 













