Aula ao Vivo: Função Logarítmica
Hoje teremos uma aula incrível sobre Função Logarítmica com os professores PC Sampaio e Aleksander Matias! Essa aula você, definitivamente, não pode perder! 😉 Confira os horários e dias das aulas aqui no post e aproveite para baixar o material de apoio! 😀


Matemática: Função Logarítmica
Turma da Manhã: 9:00 às 10:00, com o professor PC Sampaio.
Turma da Noite: 18:30 às 19:30, com o professor Aleksander Matias.
Faça download do material clicando aqui embaixo 😀
MATERIAL DE AULA AO VIVO
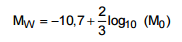
1. A Escala de Magnitude de Momento (abreviada como MMS e denotada como Mw), introduzida em 1979 por Thomas Haks e Hiroo Kanamori, substituiu a Escala de Richter para medir a magnitude dos terremotos em termos de energia liberada. Menos conhecida pelo público, a MMS é, no entanto, a escala usada para estimar as magnitudes de todos os grandes terremotos da atualidade. Assim como a escala Richter, a MMS é uma escala logarítmica. MW e M0 se relacionam pela fórmula:
Onde M0 é o momento sísmico (usualmente estimado a partir dos registros de movimento da superfície, através dos sismogramas), cuja unidade é o dina.cm.
O terremoto de Kobe, acontecido no dia 17 de janeiro de 1995, foi um dos terremotos que causaram maior impacto no Japão e na comunidade científica internacional. Teve magnitude Mw=7,3.
U.S. GEOLOGICAL SURVEY, Historic Earthquakes. Disponível em: http://earthquake.usgs.gov. Acesso em: 1 maio 2010 (adaptado).
Mostrando que é possível determinar a medida por meio de conhecimentos matemáticos, qual foi o momento sísmico M0 do terremoto de Kobe (em dina.cm)?


Gabarito
1. E
LISTA DE EXERCÍCIOS
1. Observe no gráfico a função logaritmo decimal definida por y = log(x).


Admita que, no eixo x, 10 unidades correspondem a 1 cm e que, no eixo y, a ordenada log(1000) corresponde a 15 cm.
A escala x:y na qual os eixos foram construídos equivale a:
a) 5:1
b) 15:1
c) 50:1
d) 100:1
2. O modelo da cobertura que está sendo colocada no Estádio Beira-Rio está representado na figura abaixo.


Colocada devidamente em um plano cartesiano, é possível afirmar que, na forma em que está, a linha em destaque pode ser considerada uma restrição da representação da função dada por


3. O gráfico da função y = log (x+1) é representado por:


4. Em 1997 iniciou-se a ocupação de uma fa¬zenda improdutiva no interior do país, dan¬do origem a uma pequena cidade. Estima¬-se que a população dessa cidade tenha crescido segundo a função ![]()
![]()
![]()
![]()
a) 2005
b) 2002
c) 2011
d) 2007
e) 2004
Gabarito
1. C
2. A
3. D
4. D


Redação 
