9 maneiras de resolver Polinômio que você precisa implementar hoje na sua mente
1- Adição e subtração:
Essas duas operações básicas nos polinômios são feitas através da redução dos termos semelhantes. Ou seja, soma-se (ou subtrai-se) o coeficiente de cada termo a seu semelhante no outro polinômio.


Fácil como …. parir uma criança!
2- Multiplicação:
Para multiplicar polinômios basta aplicar a distributiva (ou o chuveirinho, como é carinhosamente conhecida).


Quando eu vou usar isso?
3- Teorema do Resto
O teorema diz que, na divisão de um polinômio por um binômio do tipo x – a, P(a) é igual ao resto.


4- Teorema de D’Alembert,
Um matemático chamado D’Alembert, “inventou” um teorema que é uma simples conclusão do Teorema do Resto já existente: Se o resto for igual a zero, quer dizer que o polinômio é divisível por x – a. Malandrinho esse francês… Assim até eu crio Teoremas né?


“Vai, faça as contas!”
5- Decomposição em fatores de 1º grau:
Todo polinômio pode ser decomposto em fatores de primeiro grau. Observe: Seja p(x) um polinômio de grau 5, tal que suas raízes sejam – 1, 2, 3, – 2 e 4. Escreva esse polinômio decomposto em fatores de 1° grau, considerando o coeficiente dominante igual a Ele deve ser escrito na forma estendida:
Se – 1, 2, 3, – 2 e 4 são raízes do polinômio, então o produto das diferenças de x por cada uma dessas raízes resulta em p(x):
p(x) = an.(x + 1).(x – 2).(x – 3).(x + 2).(x – 4)
Se o coeficiente dominante an = 1, temos:
p(x) = 1.(x + 1).(x – 2).(x – 3).(x + 2).(x – 4)


“Quem tem a sensação que não tem ideia do que está fazendo?”
6- Raiz de Multiplicidade
Se p(x) = (x-1)³.(x+2)².(x-4), dizemos que 1 é uma raiz de multiplicidade 3, -2 é uma raiz de multiplicidade 2 e 4 é uma raiz simples.


Não desista!!!
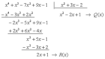
7- Métodos de chaves:
A divisão de polinômios deve ser feita pelo método das chaves:


Ahhhhhhh…
8- Algorismo de Briot-Ruffini
Porém, conhecer Briot-Ruffini pode ajudar muito na hora da divisão de polinômio por binômio do tipo x – a. Observe:


“Quando alguém tenta me explicar matemática.”
9- Teorema das Raízes Racionais
Conhecer o Teorema das Raízes Racionais pode te ajudar a encontrar as raízes de um polinômio quando tudo parecer perdido. Exemplo: 2x4 + 5x3 – 11x2 – 20x + 12 = 0. Devemos fazer todas as combinações de divisores do último termo ({±1, ±2, ±3, ±4, ±6, ±12}) dividido pelos divisores do coeficiente do primeiro termo ({±1, ±2}). Sim, eu sei, são muitos casos a se testar: {+½, – ½, +1, – 1, +3/2, –3/2, +2 , –2, +3, –3, +4, –4, +6, –6, +12, –12}.
Mas quando não se enxergar outra saída, vale tudo. É importante lembrar que mesmo após esse esforço, não há garantias de se encontrar todas as raízes e sim apenas as raízes racionais existentes.





Camila 




