Estudo Analítico da Lentes Esféricas: é mais fácil do que parece!
Saiba tudo sobre Lentes Esféricas e fique ponto para arrasar na sua prova de física na escola e no ENEM!
Convenção de sinais (referencial de Gauss)
O referencial de Gauss consiste em um par de eixos ortogonais com origem no centro óptico da lente delgada.
Orientação do eixo das abscissas:
- eixo dos objetos – contrária à luz incidente;
- eixo das imagens – a mesma da luz emergente.
O eixo das ordenadas tem origem no centro óptico da lente delgada, é perpendicular ao eixo principal e tem sentido de baixo para cima. De acordo com convenção, temos:
- lente convergente: f > 0;
- lente divergente: f < 0.
Exemplo Elucidativo
O observador tem a impressão de que a imagem está vindo do ponto R’, logo é virtual, direita e menor (i > 0 e p’ <0). Além disso, o objeto é real (o > 0 e p > 0) e a lente é divergente, tendo seu foco imagem negativo (f <0).
Equações das Lentes Esféricas
As equações são as mesmas dos espelhos esféricos.
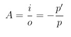
Equação dos Pontos Conjugados de Gauss:
Aumento Linear Transversal:
Convergência
Define-se que a vergência ou convergência C de uma lente é o inverso de sua distância focal:
A unidade utilizada para caracterizar a convergência no SI é a dioptria, simbolizada por di.
Um dioptria equivale ao inverso de um metro, ou seja:
Uma unidade equivalente a dioptria, muito conhecida por quem usa óculos, é o “grau”, ou seja, 1di = 1grau.
Observe na expressão da convergência que f e C são inversamente proporcionais, ou seja, lentes de pequenas distâncias focais, que provocam maiores alterações nas imagens dos objetos, tem maior convergência, ou na linguagem cotidiana, “maior grau”.
Quando a lente é convergente, usa-se distância focal positiva (f>0), e, para uma lente divergente, se usa distância focal negativa (f<0).
Exercícios
1) (ITA-SP) Um objeto tem altura H = 20 cm e está situado a uma distância p = 30 cm de uma lente. Esse objeto produz uma imagem virtual de altura h = 4,0 cm. A distância da imagem à lente, a distância focal e o tipo de lente são, respectivamente:
a) 6,0 cm; 7,5 cm; convergente
b) 1,7 cm; 30 cm; divergente
c) 6,0 cm; –7,5 cm; divergente
d) 6,0 cm; 5,0 cm; divergente
e) 1,7 cm; –5,0 cm; convergente
2) (Fuvest-SP) A distância entre um objeto e uma tela é de 80 cm. O objeto é iluminado e, por meio de uma lente delgada posicionada adequadamente entre o objeto e a tela, uma imagem do objeto, nítida e ampliada três vezes, é obtida sobre a tela. Para que isto seja possível, a lente deve ser:
a) convergente, com distância focal de 15 cm, colocada a 20 cm do objeto.
b) convergente, com distância focal de 20 cm, colocada a 20 cm do objeto.
c) convergente, com distância focal de 15 cm, colocada a 60 cm do objeto.
d) divergente, com distância focal de 15 cm, colocada a 60 cm do objeto.
e) divergente, com distância focal de 20 cm, colocada a 20 cm do objeto.
3) Mediante uma lente delgada, um estudante acende uma chama numa folha de papel situada a 20 cm da lente, aproveitando a luz solar. Qual a distância focal e qual a convergência da lente?
Gabarito
1) C
2) A
3) f = 0,20m e C = 5,0di



Redação 






