• Aumentar Fonte
  • Diminuir Fonte
  • Trocar contraste

Campo e Potencial Elétrico

Antes de aprendermos o que é campo e potencial elétrico, vamos começar do começo, ok? Por que estudamos a eletrostática?

Para não levar choques desses é uma boa resposta

A ideia é conseguir responder por que e como as cargas elétricas interagem entre si. Resumindo: queremos saber quais forças uma faz na outra e como podemos entendê-las. Experimentalmente, foi descoberto que a força entre as cargas era dada pela lei de Coulomb, que já estudamos.

NUNCA MAIS PERCA UMA QUESTÃO DE FÍSICA POR NÃO ENTENDER O ENUNCIADO 😉

“Então, sabendo a força, estaremos entendendo a eletrostática, profê?!”

Exato, jovem! Se entendermos como corpos carregados ou cargas elétricas interagem, ou seja, se conhecermos a força elétrica, saberemos a eletrostática completa. Porém, algumas propriedades foram descobertas através de repetidos experimentos e análises.

Campo elétrico

O campo elétrico é a região em torno de uma carga elétrica em que esta irá manifestar suas propriedades. É parecido com o conceito da gravidade estudado na Gravitação. A gravidade é a interação entre um corpo de massa e outro, mas não precisa ter contato entre os corpos, basta que um corpo esteja dentro do campo gravitacional de outro.

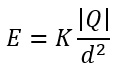
A forma de caracterizar os pontos do campo é através do vetor campo elétrico, que pode ser calculado da seguinte forma:

Carga elétrica até um ponto P:

1) Ligar a carga até o ponto com uma linha reta (direção);

2) Caso a carga seja positiva: colocar sentido carga para o ponto. E caso a carga seja negativa: colocar sentido ponto para a carga (sentido);

3) Calcular a intensidade do campo elétrico com a fórmula:

Campo e Potencial Elétrico

Onde, K é uma constante eletrostática, Q é o valor da carga que produz o campo elétrico e d é a distância da carga ao ponto.

Carga elétrica até outra carga elétrica:

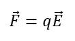
Se uma outra carga elétrica q for colocada no lugar desse ponto, aparecerá uma força elétrica F, como já foi estudado no resumo de Lei de Coulomb.

O sentido da força elétrica será coincidente com o sentido do campo quando a carga q for positiva e sentido contrário quando a carga elétrica for negativa.

A força elétrica e o campo elétrico se relacionam através da expressão:

Campo e Potencial Elétrico

Campo e Potencial Elétrico

No SI a unidade do campo elétrico é o newton por coulomb (N/C).

Linhas de campo

As linhas de campo são divergentes com origem na carga, es esta for positiva e convergentes para a carga se esta for negativa.

Campo e Potencial Elétrico
Campo Elétrico Uniforme

O campo será uniforme quando o vetor campo elétrico for constante em todos os pontos (mesma direção, mesmo sentido e mesma intensidade). As linhas de campo serão retas paralelas, igualmente orientadas e igualmente espaçadas. Isso vai acontecer quando se tem um campo elétrico entre placas paralelas.

Campo e Potencial Elétrico
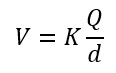
Potencial Elétrico

Outra forma de caracterizar um ponto ao redor de uma carga elétrica é através da grandeza escalar, o Potencial Elétrico (V). Ele pode ser calculado pela relação:

Campo e Potencial Elétrico

Note que o sinal da carga elétrica será igual o sinal do potencial elétrico.

No Si, a unidade do potencial elétrico é o volt (V).

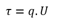
Diferença de Potencial (ddp)

Quando uma carga q está no campo elétrico de uma carga Q e se move de um ponto A até um ponto B, a força elétrica irá realizar um trabalho sobre essa carga, que pode ser calculado com a relação:

Campo e Potencial Elétrico

Essa diferença (Va-Vb) se chama diferença de potencial elétrico (ddp) entre os pontos A e B. Note que não é como um “delta potencial”, pois não é o potencial final menos o inicial. É o potencial inicial menos o final.

Campo e Potencial Elétrico
Essa ddp também pode ser chamada de tensão elétrica entre os pontos e representado por U:

Campo e Potencial Elétrico

Superfícies Equipotenciais

As superfícies equipotenciais são as superfícies em que o potencial elétrico é constante, ou melhor, o caminho que a carga elétrica q pode andar sem que o potencial elétrico dela varie.

Campo e Potencial Elétrico

Exercícios

1.  Uma carga qexerce uma força de 100 N sobre uma carga teste q2= 2 x 10–5C localizada a 0,3 m de q1. Considerando k = 9 x 109N.m2/C2, tem-se que o valor da carga q1 e a intensidade do campo elétrico devido à q1, no ponto onde se encontra q2, são, respectivamente,

a) 5,0 x 10–5C e 5 x 106N/C.

b) 5,2 x 10–5C e 4 x 106N/C.

c) 5,2 x 10–5C e 5 x 106N/C.

d) 5,0 x 10–5C e 3 x 106N/C.

e) 5,1 x 10–5C e 3 x 106N/C

2.  Uma carga positiva encontra-se numa região do espaço onde há um campo elétrico dirigido verticalmente para cima. Podemos afirmar que a força elétrica sobre ela é:

A) para cima.

B) para baixo.

C) horizontal para a direita.

D) horizontal para a esquerda.

E) nula.

3. Uma carga puntiforme está fixa na origem de um sistema de coordenadas cartesianas. É correto afirmar que o potencial elétrico gerado por essa carga é constante em todos os pontos de coordenadas (x,y) tais que

A) x2+y2= constante.

B) x+y = constante.

C) 1/x2+ 1/y2= constante.

D) 1/x + 1/y = constante.

Gabarito

1. C

2. A

3. A