Questões Comentadas: Força de Atrito e Plano Inclinado
Leia o resumo “O que é força de atrito e como ela age no plano inclinado?” e resolva os exercícios abaixo.


1. (PUC-RJ) Uma caixa cuja velocidade inicial é de 10 m/s leva 5 s deslizando sobre uma superfície horizontal até parar completamente.
Considerando a aceleração da gravidade g = 10 m/s2, determine o coeficiente de atrito cinético que atua entre a superfície e a caixa.
a) 0,1
b) 0,2
c) 0,3
d) 0,4
e) 0,5
2. (Ufrrj-RJ) Um bloco se apóia sobre um plano inclinado, conforme representado no esquema:
Dados: sen 30° = 0,5
Se o bloco tem peso de 700N, a menor força de atrito capaz de manter o bloco em equilíbrio sobre o plano é
a) 350N.
b) 300N.
c) 250N.
d) 200N.
e) 150N.
GABARITO
1. B
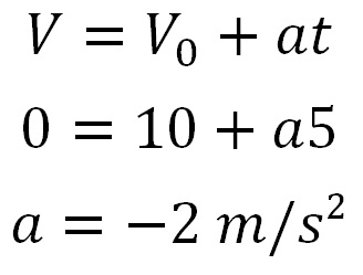
Resolução passo-a-passo:
A única força que atua no corpo na horizontal é à força de atrito. É ela que faz a caixa parar.
Primeiro, iremos descobrir a desaceleração da caixa. Depois, faremos o somatório das forças, para descobrir o coeficiente de atrito cinético.


Descobrindo a desaceleração da caixa:
A aceleração é negativa, pois a caixa está freando.
Como só temos uma força na horizontal, a força resultante fica:
Na vertical, o corpo está em equilíbrio, logo a força peso será igual a força normal (N).
2. A
Resolução passo-a-passo:
Como queremos o bloco em equilíbrio, a força resultante que atua nele será igual a zero.
Ele está em um plano inclinado. Traçando as forças e decompondo, achamos que:


Esse é o menor valor que a Fat pode ter, para que o bloco permaneça em equilíbrio. Se o valor for menor que isso, o bloco ganha movimento.


Redação 






