Mapa Mental: Campo Elétrico
Nesse mapa mental, você vai encontrar todos os principais pontos sobre Campo Elétrico que você precisa saber <3
Quer ficar por dentro de tudo sobre Campo e Potencial Elétrico? Confira este resumo que vai salvar sua prova de Física e se prepare para gabaritar!
Vamos começar do começo, ok? Por que estudamos a eletrostática?
A ideia é conseguir responder por que e como as cargas elétricas interagem entre si. Resumindo: queremos entender que forças uma faz na outra e como podemos entendê-las. Experimentalmente, foi descoberto que a força entre as cargas era dada pela lei de Coulomb, que já estudamos na semana passada. Se você tiver alguma dúvida ainda com relação a Força elétrica, volte no resumo anterior.
“Então, sabendo a força, estaremos entendendo a eletrostática, profê?!”
Exato, jovem! Se entendermos como corpos carregados ou cargas elétricas interagem, ou seja, se conhecermos a força elétrica, saberemos a eletrostática completa, porém, algumas propriedades foram descobertas através de repetidos experimentos e análises.
Campo elétrico
É a região em torno de uma carga elétrica em que esta irá manifestar suas propriedades. É parecido com o conceito da gravidade estudado na Gravitação. A gravidade é a interação entre um corpo de massa e outro, mas não precisa ter contato entre os corpos, basta que um corpo esteja dentro do campo gravitacional de outro.
A forma de caracterizar os pontos do campo é através do vetor campo elétrico, que pode ser calculado da seguinte forma:
Carga elétrica até um ponto P:
1) Ligar a carga até o ponto com uma linha reta (direção);
2) Caso a carga seja positiva: colocar sentido carga para o ponto. E caso a carga seja negativa: colocar sentido ponto para a carga (sentido);
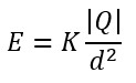
3) Calcular a intensidade do campo elétrico com a fórmula:
Onde, K é uma constante eletrostática, Q é o valor da carga que produz o campo elétrico e d é a distância da carga ao ponto.



Redação 




