Mapa Mental: Calorimetria
Aprender Calorimetria com mapas mentais nunca foi tão fácil! 🙂
Aprenda os conceitos fundamentais para entender a Calorimetria de uma vez por todas e prepare-se para o arrasar no Enem!
Calorimetria é, basicamente, a parte da Física em que é estudado a troca de calor entre os corpos. Precisamos antes entender alguns conceitos:
Temperatura
Temperatura é o grau de agitação das moléculas. Quanto mais agitadas, maior a temperatura.
Escalas Termométricas
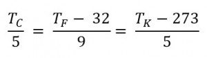
Existem diversas formas de mensurar a temperatura, mas as 3 escalas mais comum são: Kelvin, Celsius e Fahrenheit.
Dependendo da questão será necessário fazer a conversão de uma escala para outra. A equação que relaciona essas escalas é:
Onde, TC = temperatura em graus Celsius, TF = temperatura em graus Fahrenheit e TK = temperatura em Kelvin.
Calor
Calor é a energia trocada entre dois corpos que pode ou não acarretar em mudança da temperatura.
Calor Sensível
Tipo de calor que provoca variação na temperatura do corpo.
Calculado através da equação Q = m.c.ΔT = C.ΔT, onde m é a massa do corpo, c é o calor específico do material, C é a capacidade térmica do corpo e ΔT é a variação de temperatura.
Unidade usual: cal (caloria). Unidade no SI: J (joule).
Capacidade Térmica: característica do corpo que determina o “quão rápido o corpo esquenta ou esfria”.
Calculado pela relação: C = m.c, onde m é a massa do corpo e c é o calor específico.
Unidade usual: cal/ºC. Unidade no SI: J/K
Calor específico: característica da substância de que o material é feito. Unidade usual: cal/gºC.
Unidade no SI: J/ kg.K.
Veja também uma lista, com 3 dicas para arrasar com a Calorimetria no vestibular e na vida e, depois, teste seus conhecimentos com exercícios de vestibular!



Redação 




