O que contaminação bacteriana e impressoras a laser têm em comum? A Força Elétrica te explica em 4 tópicos!
Estamos cercados por aparelhos que dependem da Física do Eletromagnetismo, que é a combinação de fenômenos elétricos e magnéticos. Esta Física é responsável pelo funcionamento dos computadores, dos receptores de televisão, dos aparelhos de rádio, das lâmpadas e até mesmo pelo modo como uma folha de plástico gruda em um recipiente de vidro. O Eletromagnetismo também explica muitos fenômenos naturais; não só mantém coesos todos os átomos e moléculas do mundo, mas também produz o relâmpago, a aurora e o arco-íris.
A Física do Eletromagnetismo foi estudada pela primeira vez pelos filósofos da Grécia antiga, que descobriram que se um pedaço de âmbar fosse friccionado e depois aproximado de pedaços de palha, esta seria atraída pelo âmbar. Hoje sabemos que a atração entre o âmbar e a palha se deve a uma força elétrica.
Então, tome cuidado para não levar choque porque vamos discutir alguns fenômenos acerca das cargas elétricas e das forças elétricas!


Cuidado aí, parsa!
1. Lei de Coulomb e as impressoras a laser
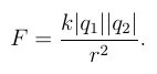
Antes de mais nada, você está cansado de ouvir que “cargas de mesmo sinal se repelem e cargas de sinais opostos se atraem” e também já ouviu falar de sua tradução matemática, a chamada lei de Coulomb, força eletrostática ou força elétrica entre duas cargas, cujo módulo é


O termo “eletrostática” é usado para chamar atenção para o fato de que a velocidade relativa entre as cargas é nula ou muito pequena.
Os termos “positiva” e “negativa” para os dois tipos de carga foram escolhidos arbitrariamente por Benjamin Franklin. Ele poderia muito bem ter feito a escolha inversa para designar os dois tipos de eletricidade. (Franklin era um cientista de renome internacional. Acredita-se que seus triunfos diplomáticos na França, durante a Guerra de Independência dos EUA, tenham sido facilitados, ou mesmo tornados possíveis, pela reputação de Franklin no campo da ciência.)
A atração e a repulsão entre corpos eletricamente carregados têm muitas aplicações industriais, como a pintura eletrostática, o recolhimento de cinzas voláteis em chaminés e a impressora a laser. A figura abaixo mostra uma partícula de plástica usada em fotocopiadora a laser, coberta por partículas ainda menores de um pó conhecido como toner que são atraídas para a partícula de plástico por forças eletrostáticas.


As partículas do toner, negativamente carregadas, são transferidas da partícula de plástico para um tambor rotativo, onde existe uma imagem positivamente carregada do documento a ser copiado. Uma folha de papel eletricamente carregada atrai as partículas do toner, que são fixadas permanentemente no papel por aquecimento para produzir uma cópia.


Xerox também tem coração!
2. Contaminação bacteriana e a força eletrostática
A força eletrostática pode desempenhar um papel sutil na contaminação bacteriana de um hospital. Nas cirurgias endoscópicas, por exemplo, o médico observa o interior do corpo do paciente na tela de um monitor. Nos monitores convencionais (mas não nos monitores de cristal líquido) a imagem é produzida por elétrons emitidos por um canhão eletrônico e atraídos para uma tela positivamente carregada. A tela carregada também atrai partículas presentes no ar, como poeira e células epiteliais. As partículas negativamente carregadas são atraídas pela carga positiva da tela. No caso de partículas eletricamente neutras, seus elétrons se concentram no lado mais próximo da tela, o que faz com que as partículas adquiram uma carga induzida.


Como muitas das partículas atraídas pela tela do monitor contêm bactérias, a tela fica contaminada. Suponha que o cirurgião aproxime o dedo enluvado da tela para mostrar algo à equipe médica. Nesse caso, a tela positivamente carregada produz um excesso de elétrons na ponta do dedo (figura abaixo, fora de escala).


A força de atração desses elétrons, por sua vez, faz com que partículas contaminadas (presentes no ar ou na tela do monitor) se acumulem na luva. Quando o cirurgião toca o paciente com as luvas contaminadas as bactérias podem passar para a pele ou (o que é pior) para os órgãos internos do paciente. Para evitar que isso ocorra, os cirurgiões são alertados a não aproximar os dedos da tela dos monitores.


Eca, que nojo! Cheio de bactérias aí, ó!
3. A carga é quantizada!
Na época de Benjamin Franklin, a carga elétrica era considerada um fluido contínuo, uma ideia que foi útil para muitos propósitos. Hoje, porém, sabemos que mesmo os fluidos “clássicos”, como a água e o ar, não são contínuos e sim compostos de átomos e moléculas; a matéria é quantizada. Os experimentos revelam que o “fluido elétrico” também não é contínuo, e sim composto de unidades elementares de carga. Todas as cargas positivas e negativas que podem ser detectadas podem ser escritas na forma
![]()
![]()
onde a carga elementar tem o valor aproximado
![]()
![]()
A carga elementar é uma das constantes mais importantes da natureza. Tanto o elétron como o próton possuem uma carga cujo valor absoluto é esse aí de cima. (Os quarks, partículas elementares das quais são feitos os prótons e nêutrons, têm cargas de ± e/3 ou ± 2e/3, mas existem fortes indícios de que não podem ser observados isoladamente).
Quando uma grandeza física pode assumir apenas certos valores, dizemos que é quantizada; a carga elétrica é uma dessas grandezas. É possível, por exemplo, encontrar uma partícula sem carga elétrica ou com uma carga de +10e ou -6e, mas não uma partícula com uma carga de 3,57e.
O quantum de carga é extremamente pequeno. Em uma lâmpada incandescente de 100 W, por exemplo, cerca de 1019 cargas elementares passam pelo filamento por segundo. Entretanto, a natureza discreta da eletricidade não se manifesta em muitos fenômenos (a luz da lâmpada não pisca toda vez que um elétron passa pelo filamento), da mesma forma que não sentimos as moléculas de água quando lavamos as mãos.


Mesmo assim, cuidado com os choques!
4. A carga é conservada!
Quando friccionamos um bastão de vidro com um pedaço de seda o bastão fica positivamente carregado. As medidas mostram que uma carga negativa de mesmo valor absoluto se acumula na seda. Isso sugere que o processo não cria cargas, mas apenas transfere cargas de um corpo para outro, rompendo no processo a neutralidade de carga dos dois corpos. Esta hipótese de conservação de carga elétrica, proposta por Benjamin Franklin, foi comprovada exaustivamente tanto no caso de objetos macroscópicos como no caso de átomos, núcleos e partículas elementares.
Exemplos importantes da conservação de carga são observados no decaimento radioativo dos núcleos atômicos, um processo pelo qual um núcleo se transforma em um núcleo diferente. Um núcleo de urânio 238, por exemplo, se transforma em um núcleo de tório 234 emitindo uma partícula alfa, que é um núcleo de hélio 4 (dois prótons e dois nêutrons).


O núcleo-pai de urânio 238 contém 92 prótons (uma carga de +92e), o núcleo-filho de tório 234 contém 90 prótons (uma carga de +90) e a partícula alfa emitida, hélio 4, contém 2 prótons (uma carga de +2e). Vemos que a carga total é +92e antes e depois do decaimento; assim, a carga é conservada. (O número total de prótons e nêutrons também é conservado: 238 antes do decaimento e 234 + 4 = 238 depois do decaimento).


Essa lista abriu minha mente!
Continue estudando Processos de Eletrização e Força Elétrica pra mandar bem na hora da prova! 🙂


Redação 

